logo

Urz膮d Miejski w Koluszkach

Prawo lokalne » Zarz膮dzenia Burmistrza » Rok 2004
Zarz膮dzenie nr 4/04

w sprawie opracowania harmonogramu realizacji dochod贸w i wydatk贸w bud偶etu gminy na rok 2004

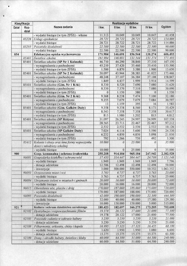
TypRozmiarPobierzKomentarzData dodaniaLicznik 
graf.108 KB POBIERZSkan zarz膮dzenia nr.4/042004-11-02 14:48:29706
graf.164 KB POBIERZSkan za艂膮cznika nr. 1 str. 12004-11-02 14:49:08735
graf.156 KB POBIERZSkan za艂膮cznika nr. 1 str. 22004-11-02 14:49:45710
graf.132 KB POBIERZSkan za艂膮cznika nr. 1 str. 32004-11-02 14:50:36741
graf.164 KB POBIERZSkan za艂膮cznika nr. 2 str. 12004-11-02 14:59:55702
graf.180 KB POBIERZSkan za艂膮cznika nr. 2 str. 22004-11-02 15:01:46702
graf.184 KB POBIERZSkan za艂膮cznika nr. 2 str. 32004-11-02 15:02:36783
graf.180 KB POBIERZSkan za艂膮cznika nr. 2 str. 42004-11-02 15:03:44695

Autor : 
Zredagowa艂(a) : Dariusz Sobieszek
Data wprowadzenia : 2004-11-02 15:04:37
Data ostatniej modyfikacji : 2006-06-05 13:10:20
Liczba wy艣wietle艅 : 2088

Redaktor  Data modyfikacji 
Dariusz Sobieszek  02.11.2004 15:04poka偶 t膮 wersj臋



licznik odwiedzin: 12016875